コアサーバーV1からコアサーバーV2への移行をどうするか?レンタルサーバー選びの重要判断
コアサーバーを使って20年が経ちます。特に不自由なく使っていたのですが、3年ほど前に今までのコアサーバーはV1となり、新たにV2という次世代のレンタルサーバープランが登場しました。内容を見ると、スピードも早くなって価格もそんなに高くないということが分かり、さて、移行をしようかどうか迷っていました。
迷っているうちに3年が経ってしまったので、今さらの感はあるものの、ドメイン1個が無料になるということもあり、V2に移行しようと思い色々と検討しました。コアサーバーの使い方を改めて見直し、現行プランとの比較を行う中で、重要な発見がありました。
core serverの運営方針とコアサーバーV2推奨の真意
というのも、どうも、コアサーバーの運営会社側では積極的にコアサーバーV2を勧めているからです。コアサーバーの詳細は本家サイトを参考に要約すると以下のとおりですが、これを見ても分かるとおり、コアサーバーV1は安かろう悪かろう、コアサーバーV2は値段が殆ど変わらないのに高性能というように書かれていて、新しいレンタルサーバープランを激しく勧めているからです。
激しく勧めるのには何か裏があるのではと勘繰ってしまいます。
もしも本当にこのとおりであればコアサーバーV1の存在意義はなくなります。コアサーバーV2への移行を勧めるなら、新たな商品はコアサーバーV2のみとし、コアサーバーV1は既存ユーザのためのものとして将来的にコアサーバーV2と合体する方がメンテナンス的にみても良いものと思います。
でも、そうしないということは、本当はコアサーバーV1の方が良いスペックで、できるだけ新規ユーザはコアサーバーV2にしてもらいたいと考えているのではと穿った見方をしてしまいます。
コアサーバーV1とコアサーバーV2の実力差は本当に宣伝どおりか?
そのように思いつつ、色々とネット情報を収集したのですが、どのサイトも公式サイトの受け売りのみです。コアサーバー評判に関する記事でも、コアサーバーV1は安いが低性能、アクセスのないサイト運営にしか適さないがコアサーバーV2は高性能というものばかりです。
最大の疑問点は、コアサーバーV1にはCORE-MIN、CORE-A、CORE-B、CORE-Cの4種類があるにもかかわらず、CORE-Aの月220円を例示して「安い」と言っていることです。他の3種類のレンタルサーバープランはどうなんでしょうか。月2,750円のCORE-Cの位置付けはいったい何なんでしょうか。性能はコアサーバーV2と比べてどうなのでしょうか。
実測による徹底検証:core serverの真の性能
ということで、私は、実際にコアサーバーV1とコアサーバーV2のパフォーマンスを測定しました。測定に当たってのコアサーバーの種類については、コアサーバーV1については私が長年運用しているCORE-Bです。コアサーバーV2は同価格帯のCORE-Yです。当初、CORE-Xも対象に考えていたのですが、あるとき、503エラーが多発したことからCORE-Xは論外と考えCORE-Yにしたものです。
コアサーバーとは?レンタルサーバー市場での位置づけを徹底解説
ところでコアサーバーとは何かと疑問に思う方も多いと思いますのでちょっと説明します。コアサーバーは、GMOデジロック株式会社が提供する高速・高安定・大容量のレンタルサーバーサービスです。
レンタルサーバーのランキングで出てくるサーバー会社は、ロリポップ(Lolipop)、ConoHa WING、エックスサーバー(Xserver)、さくらのレンタルサーバが殆どでコアサーバーは知名度や人気では上位のランキングにはあまり登場しないことが多いです。
しかし、特定の用途に特化したユーザーに根強い支持があります。コアサーバー評判を調べると、性能面での評価は良好で、特にコストパフォーマンスや柔軟性を求める中級者・上級者向けとされています。
レンタルサーバー市場でのcore serverの評価
ランキングサイトによって順位は異なりますが、全体的な評価としてはトップ3には入らないものの、コスパを重視するユーザーから一定の評価を受けています。
全プランで転送量無制限、高速SSD、無料SSL、ワードプレスインストールに対応しています。これはコアサーバーワードプレスを利用したい初心者にも嬉しい仕様です。
コアサーバーには、従来の「V1プラン」と新しい「V2プラン」があり、それぞれ特徴とサービス内容が異なります。以下に、各プランの詳細と両者の比較をあくまでも巷の情報で説明します。
コアサーバーV1プランの特徴とレンタルサーバーとしての実力
V1プランは、コアサーバーの従来から提供されているサーバー環境で、最安のCORE-MINは月額220円から使うことができます。
コアサーバーV1プランの特徴として、初期費用が無料で、全プランで転送量無制限、高速SSD、無料SSL、ワードプレスインストールに対応しています。ただし、WebサーバーにはApacheを採用しており、最新の高速化技術には対応していない点がデメリットとされています。
コアサーバーV1の使い方:基本から応用まで
コアサーバーV1の使い方は比較的シンプルです。管理画面から簡単にワードプレスをインストールでき、FTPアクセスやデータベース管理も直感的に行えます。長年のサービス提供により、使い方に関する情報も豊富に存在します。
コアサーバーV2プラン:次世代レンタルサーバーの実態
V2プランは、コアサーバーの新しいサーバー環境で、最安のCORE-Xは月額390円から使うことができます。
コアサーバーV2プランは初期費用が必要ですが、LiteSpeedの採用や無料独自ドメインの提供など、より高性能で付加価値の高いサービスを提供しています。そのため、これから新規で契約する場合や、ウェブサイトの高速表示や安定稼働を重視する場合は、V2プランを選択することを運営側は勧めています。
コアサーバーV2でのワードプレス運用
コアサーバーV2ではワードプレスの運用において、LiteSpeed Cacheなどの最新技術を活用できるとされています。コアサーバーワードプレスの組み合わせは、V2プランでより最適化されているという触れ込みです。
測定方法:core serverの性能を科学的に検証
ページ生成時間による評価
実際のサーバーの処理能力を表すことができるのが、ワードプレスのQuery Monitorプラグインです。この中の「Page Generation Time(ページ生成時間)」は、サーバー上で実行されるすべての処理(データベースクエリ、ファイル読み込み、プラグインやテーマの処理など)を反映し、サイトのパフォーマンスを包括的に評価できるものです。
サーバーの処理能力は、ハードウェア(CPU、メモリ、ディスクI/O)の性能に大きく依存します。「Page Generation Time」は、これらのリソースを直接使用してページ生成を行うため、サーバーの実際の処理能力を反映します。
TTFBによるレンタルサーバー速度測定
サーバーの速さを評価するためには一般的にはTTFB(Time to First Byte)が使われます。TTFBは、ユーザーがブラウザでリクエストを送信してから、最初のバイトがブラウザに返されるまでの時間を測定するものです。
このTTFBは、サーバーの処理能力と、サーバーとクライアント間のネットワーク遅延を含みます。このため、純粋にサーバーの処理能力を表すものではありません。このためレンタルサーバーの内部処理能力だけを評価する指標としては不正確です。
DomsignalのCheck TTFBは、ウェブサイトのパフォーマンス、セキュリティ、SEOの向上を目的とした包括的なテストツールを提供するプラットフォームです。提供されているツールの中にTTFBの測定結果もあります。
果たして測定結果はどうだったのか:コアサーバー評判を覆す事実
巷の速度測定サイトは単純に1度だけの測定でランキングをしているようですが、これはダメです。サーバーの状態は刻一刻と変化しますので、何度も測定してその平均で見るべきです。
今回の測定では、合計十数回の計測を行いました。これはコアサーバーの使い方として、実運用に近い状態での性能を把握するためです。
Query Monitorでの測定結果:core serverの実力

図が2つありますが、図1は、アドレスを指定して起動した初回の測定です。というのは、同じブラウザでは初回はキャッシュされていないので遅めに出ます。2回、3回とリロードするとキャッシュが効いて結果は良くなります。図1はその遅い生の数字、図2は同じ時間帯で何度もリロードして最良の結果の数値です。図1はサーバーの実際の速度、図2はサーバーの絶対的速度を見ることができると思います。
結果は、図1ではコアサーバーV1は平均346ミリ秒、コアサーバーV2は平均697ミリ秒でコアサーバーV2の方が低速です。図2では113ミリ秒と278ミリ秒でこちらもコアサーバーV2の方が低速です。
この結果は、一般的なコアサーバー評判とは異なる驚きの内容となりました。
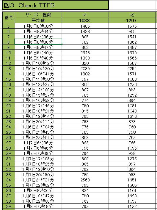
Check TTFBでの測定結果

図3のとおりですが、コアサーバーV1は平均1038ミリ秒、コアサーバーV2は平均1207ミリ秒でこちらもコアサーバーV2の方が低速です。
Web Vitalsでの測定結果:レンタルサーバー性能の最終確認

以上のとおり、ふたつともコアサーバーV1の方が高速であると出たのですが、ここまでやっても、巷のコアサーバーV2の方が高速ということを信じている身にとっては信じられない結果のため、更に念のためWeb Vitalsでも測定してみました。
この結果は図4のとおりですが、コアサーバーV1は平均322ミリ秒、コアサーバーV2は平均345ミリ秒でこちらもわずかですがコアサーバーV2の方が低速です。
このように見事に巷で言われていることと逆の結果となりました。これはcore serverを選ぶ際の重要な判断材料となります。
コアサーバーの種類について:レンタルサーバープラン選択の複雑さ
そもそも、コアサーバーは種類が多すぎます。ユーザーはどれを選んで良いのか困惑するうえに情報はコアサーバーV2のものばかりです。
将来的にコアサーバーV1を廃止してV2に移行させようというなら話は分かりますが、依然としてコアサーバーV1の募集も行っています。
そのうえで、コアサーバーV2への移行を促すというのも良く分かりません。
コアサーバーV2プランCORE-Yの特徴
V2プランの「CORE-Y」は、次世代ウェブサーバー「LiteSpeed」の採用や、CPUやメモリの専用割り当て、HTTP/3やIPv6への対応など、最新技術を活用しており、より高速で安定したウェブサイト運営が可能とされています。
コアサーバーV1プランCORE-Bとの比較
一方、V1プランの「CORE-B」は、初期費用が無料である点や、電話サポートが利用可能である点が特徴です。これらの点を考慮すると、最新技術や高速性を重視する場合は「CORE-Y」、初期費用の無料や電話サポートを重視する場合は「CORE-B」を選択することになりますが、どう考えても速度よりも初期費用の無料や電話サポートを重視する者がいるとは思えません。
レンタルサーバー市場での競合比較
もしも初期費用の無料や電話サポートを重視する者がいるならば、わざわざコアサーバーなどは選択しません。Xサーバーやシンサーバーなどは全てのプランで初期費用の無料で電話サポートもあり、かつ高速です。
確かにV1のCORE-MINIは月220円からと最安なので存在意義はあるでしょうが、以上を考慮するとV1の上位プランは全く存在意義がないということになります。
本当にコアサーバーV1の方が速いのか:core server選択の真実
私はこの結果を見て驚きました。実測していて言うのもおかしいですが、本当にコアサーバーV1の方が速いのでしょうか。
サーバーの測定結果はこのようになったというのは事実です。ただ、だからといってスペック的にコアサーバーV2の方が劣っていると解釈するのも早計です。
ユーザー数とレンタルサーバー性能の関係
というのは、コアサーバーの運営会社はコアサーバーV2を推薦しているから、結果的に現行のコアサーバーV1ユーザは少なくなっているからです。
ユーザーが少なくなると当然、サーバーのパフォーマンスは上昇します。これが原因で良い結果が出ただけなのかも知れません。
結論:コアサーバーV1とV2、どちらを選ぶべきか
結論としては、現在、コアサーバーV1を使っている人は拙速にV2に移行せずに、コアサーバーV2の実力を実際に確認してからの方が良いと思います。
コアサーバー評判やcore serverに関する一般的な情報だけでなく、実際の使い方における体感速度や、ワードプレスでの運用パフォーマンスを自分で確認することが重要です。
レンタルサーバー選びは、単なるスペック比較だけでなく、実際の運用における快適さも考慮すべきです。コアサーバーとは何かを理解したうえで、自分のサイト運営に最適なプランを選択してください。




